漳州:结果出炉|看看你的小区物业获评几颗星!
字号+ 作者:安然 来源:网络转载 2022-10-28 07:03
物业头条讯:
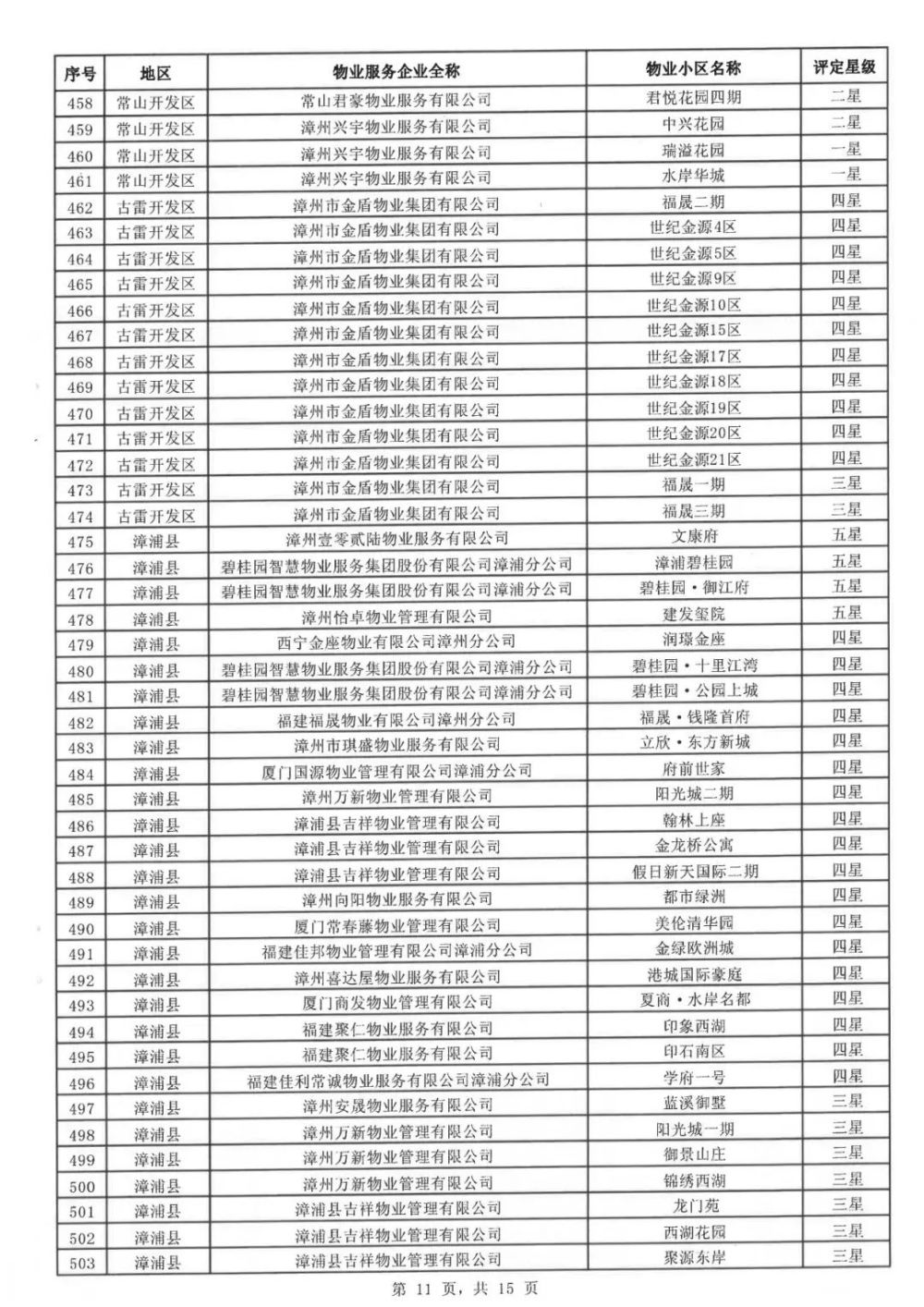
物业服务的好坏直接关系着群众的获得感、幸福感和安全感。为进一步规范物业企业服务行为、提升物业服务质量,维护业主的合法权益,今年我市创新出台《漳州市住宅小区物业服务质量星级评定实施办法(试行)》(以下简称《实施办法》),由各县区城管部门每三个月开展不少于1次辖区住宅小区物业服务质量星级评定。近日,2022年第三季度全市物业小区星级评定结果出炉,这也是我市首次对住宅小区物业服务质量开展星级评定。
那么,快来看看你家小区物业服务质量几星级!















(个别小区属于社区居委会引进代管,尚未到属地城管部门备案,没有参与此次评定。)
来 源/漳州城市管理
转载请注明出处。
1.本站部分资源来源于网络,版权归原作者或者来源机构所有,如作者或来源机构不同意本站转载采用,请通知我们,我们将第一时间删除内容 2.作者投稿可能会经我们编辑修改或补充。
关注我们
关注微信公众号,了解最新精彩内容
相关文章



热图推荐
热门资讯
随机推荐